介电常数测试仪参数详细说明
高频介电常数测试仪(频率范围10KHZ-70MHZ)
工频介电常数介质损耗测试仪(频率范围50HZ-60HZ)
中华人民共和国标准
GB/T1409—2006
代替GB/T1409—1988
测量电气绝缘材料在工频、音频、高频
(包括米波波长在内)
下电容率和介质损耗因数的推荐方法
中华人民共和国质量监督检验检疫总局
中国标准化管理委员会
GB/T1409测量电气绝缘材料在工频、音频、高频
(包括米波波长在内)
下电容率和介质损耗因数的推荐方法
1、范围
本标准规定了在15Hz〜300MHz的频率范围内测量电容率、介质损耗因数的方法,并由此计算某些数值,如损耗指数。本标准中所叙述的某些方法,也能用于其他频率下测量。
本标准适用于测量液体、易熔材料以及固体材料。测试结果与某些物理条件有关,例如频率、温度、湿度,在特殊情况下也与电场强度有关。
有时在超过1000V的电压下试验,则会引起一些与电容率和介质损耗因数无关的效应,对此不予论述。
2、规范性引用文件
下列文件中的条款通过本标准的引用而成为本标准的条款。凡是注日期的引用文件,其随后所有的修改单(不包括勘误的内容)或修订版均不适用于本标准,然而,鼓励根据本标准达成协议的各方研究是否可使用这些文件的zui新版本。凡是不注日期的引用文件,其zui新版本适用于本标准。
IEC60247:1978 液体绝缘材料相对电容率、介质损耗因数和直流电阻率的测量
3、术语和定义
下列术语和定义适用于本标准。
3.1
相对电容率relative permittivity
ε r
电容器的电极之间及电极周围的空间全部充以绝缘材料时,其电容Cx与同样电极构形的真空电容Co之比;
式中;
εr——相对电容率;
Cx——充有绝缘材料时电容器的电极电容;
Co——真空中电容器的电极电容。
在标准大气压下,不含二氧化碳的干燥空气的相对电容率ε r等于1.00053,因此,用这种电极构形在空气中的电容Cx来代替Co测量相对电容率εr时,也有足够的度。
在一个测量系统中,绝缘材料的电容率是在该系统中绝缘材料的相对电容率εr与真空电气常数εr的乘积。
在SI制中,电容率用法/米(F/m)表示。而且,在SI单位中,电气常数εr,为:

在本标准中,用皮法和厘米来计算电容,真空电气常数为:ε0=0.088 54 pF/cm
3.2
介质损耗角dielectric loss angle
δ
由绝缘材料作为介质的电容器上所施加的电压与由此而产生的电流之间的相位差的余角。
3.3
介质损耗因数 dielectric dissipation factor
tanδ
损耗角 δ的正切。
3.4
[介质]损耗指数 [dielectric] loss index
ε''r
该材料的损耗因数tanδ与相对电容率εr的乘积。
3.5
复相对电容率 complex relative permittivity
εr
由相对电容率和损耗指数结合而得到的:

式中:
εr——复相对电容率;
ε''r——损耗指数;
ε'r、εr——相对电容率;
tanδ——介质损耗因数。
注:有损耗的电容器在任何给定的频率下能用电容Cs和电阻Rs的串联电路表示,或用电容CP和电阻RP(或电导CP)并联电路表示。
并联等值电路 串联等值电路

式中:
Cs——串联电容;
Rs——串联电阻;
1)有些用“损耗角正切”来表示“介质损耗因数”,因为损耗的测量结果是用损耗角的正切来报告的。
CP——并联电容;
RP——并联电阻。
虽然以并联电路表示一个具有介质损耗的绝缘材料通常是合适的,但在单一频率下,有时也需要以电容Cs和电阻Rs的串联电路来表示。
串联元件与并联元件之间,成立下列关系:

式(9)、(10)、(11)中:Cs、Rs、CP、RP、tanδ同式(7)、(8)。
无论串联表示法还是并联表示法,其介质损耗因数tanδ是相等的。
假如测量电路依据串联元件来产生结果,且tanδ太大而在式(9)中不能被忽略,则在计算电容率前必须先计算并联电容。
本标准中的计算和测量是根据电流(ω=πf)正弦波形作出的。
4、电气绝缘材料的性能和用途
4.1电介质的用途
电介质一般被用在两个不同的方面:
用作电气回路元件的支撑,并且使元件对地绝缘及元件之间相互绝缘;
用作电容器介质。
4.2影响介电性能的因素
下面分别讨论频率、温度、湿度和电气强度对介电性能的影响。
4.2.1频率
因为只有少数材料如石英玻璃、聚苯乙烯或聚乙烯在很宽的频率范围内它们的εr和tanδ几乎是恒定的,且被用作工程电介质材料,然而一般的电介质材料必须在所使用的频率下测量其介质损耗因数和电容率。
电容率和介质损耗因数的变化是由于介质极化和电导而产生,重要的变化是极性分子引起的偶极子极化和材料的不均匀性导致的界面极化所引起的。
4.2.2温度
损耗指数在一个频率下可以出现一个值,这个频率值与电介质材料的温度有关。介质损耗因数和电容率的温度系数可以是正的或负的,这取决于在测量温度下的介质损耗指数值位置。
4.2.3湿度
极化的程度随水分的吸收量或电介质材料表面水膜的形成而增加,其结果使电容率、介质损耗因数和直流电导率增大。因此试验前和试验时对环境湿度进行控制是必不可少的。
注:湿度的显著影响常常发生在1MHz以下及微波频率范围内。
4.2.4电场强度
存在界面极化时,自由离子的数目随电场强度增大而增加,其损耗指数值的大小和位置也随此而变。
在较高的频率下,只要电介质中不出现局部放电,电容率和介质损耗因数与电场强度无关。
5、试样和电极
5.1固体绝缘材料
5.1.1试样的几何形状
测定材料的电容率和介质损耗因数,zui好采用板状试样,也可采用管状试样。
在测定电容率需要较高精度时,的误差来自试样尺寸的误差,尤其是试样厚度的误差,因此厚度应足够大,以满足测量所需要的度。厚度的选取决定于试样的制备方法和各点间厚度的变化。对1%的度来讲,1.5mm的厚度就足够了,但是对于更高度,zui好是采用较厚的试样,例如6mm〜12mm。测量厚度必须使测量点有规则地分布在整个试样表面上,且厚度均匀度在±1%内。如果材料的密度是已知的,则可用称量法测定厚度。选取试样的面积时应能提供满足精度要求的试样电容。测量10pF的电容时,使用有良好屏蔽保护的仪器。由于现有仪器的极限分辨能力约1pF,因此试样应薄些,直径为10cm或更大些。
需要测低损耗因数值时,很重要的一点是导线串联电阻引人的损耗要尽可能地小,即被测电容和该电阻的乘积要尽可能小。同样,被测电容对总电容的比值要尽可能地大。点表示导线电阻要尽可能低及试样电容要小,第二点表示接有试样桥臂的总电容要尽可能小,且试样电容要大。因此试样电容zui好取值为20pF,在测量回路中,与试样并联的电容不应大于约5pF,
5.1.2电极系统
5.1.2.1加到试样上的电极
电极可选用5.1.3中任意一种。如果不用保护环,而且试样上下的两个电极难以对齐时,其中一个电极应比另一个电极大些。已经加有电极的试样应放置在两个金属电极之间,这两个金属电极要比试样上的电极稍小些。对于平板形和圆柱形这两种不同电极结构的电容计算公式以及边缘电容近似计算的经验公式由表1给出。
对于介质损耗因数的测量,这种类型的电极在高频下不能满足要求,除非试样的表面和金属板都非常平整。图1所示的电极系统也要求试样厚度均匀。.
5.1.2.2试样上不加电极
表面电导率很低的试样可以不加电极而将试样插入电极系统中测量,在这个电极系统中,试样的一侧或两侧有一个充满空气或液体的间隙。
平板电极或圆柱形电极结构的电容计算公式由表3给出。
下面两种型式的电极装置特别合适.
5.1.2.2.1空气填充测微计电极
当试样插入和不插人时,电容都能调节到同一个值,不需进行测量系统的电气校正就能测定电容率。电极系统中可包括保护电极。
5.1.2.2.2流体排出法
在电容率近似等于试样的电容率,而介质损耗因数可以忽略的一种液体内进行测量,这种测量与试样厚度测量的精度关系不大。当相继采用两种流体时,试样厚度和电极系统的尺寸可以从计算公式中消去。
试样为与试验池电极直径相同的圆片,或对测微计电极来说,试样可以比电极小到足以使边缘效应忽略不计。在测微计电极中,为了忽略边缘效应,试样直径约比测微计电极直径小两倍的试样厚度。
5.1.2.3边缘效应
为了避免边缘效应引起电容率的测量误差,电极系统可加上保护电极。保护电极的宽度应至少为两倍的试样厚度,保护电极和主电极之间的间隙应比试样厚度小。假如不能用保护环,通常需对边缘电容进行修正,表1给出了近似计算公式。这些公式是经验公式,只适用于规定的几种特定的试样形状。
此外,在一个合适的频率和温度下,边缘电容可采用有保护环和无保护环的(比较)测量来获得,用所得到的边缘电容修正其他频率和温度下的电容也可满足精度要求。
5.1.3构成电极的材料
5.1.3.1金属箔电极
用极少量的硅脂或其他合适的低损耗粘合剂将金属箔贴在试样上。金属箔可以是纯锡或铅,也可以是这些金属的合金,其厚度为100μm,也可使用厚度小于10μm的铝箔。但是,铝箔在较高温度下易形成一层电绝缘的氧化膜,这层氧化膜会影响测量结果,此时可使用金箔。
5.1.3.2烧熔金属电极
烧熔金属电极适用于玻璃、云母和陶瓷等材料,银是普遍使用的,但是在高温或高湿下,zui好采用金。
5.1.3.3喷镀金属电极
锌或铜电极可以喷镀在试样上,它们能直接在粗糙的表面上成膜。这种电极还能喷在布上,因为它们不穿透非常小的孔眼。
5.1.3.4阴极蒸发或高真空蒸发金属电极
假如处理结果既不改变也不破坏绝缘材料的性能,而且材料承受高真空时也不过度逸出气体,则本方法是可以采用的。这一类电极的边缘应界限分明。
5.1.3.5汞电极和其他液体金属电极
把试样夹在两块互相配合好的凹模之间,凹模中充有液体金属,该液体金属必须是纯净的。汞电极不能用于高温,即使在室温下用时,也应采取措施,这是因为它的蒸气是有毒的。
伍德合金和其他低熔点合金能代替汞。但是这些合金通常含有镉,镉象汞一样,也是毒性元素。这些合金只有在良好抽风的房间或在抽风柜中才能用于100℃以上,且操作人员应知道可能产生的健康危害。
5.1.3.6导电漆
无论是气干或低温烘干的高电导率的银漆都可用作电极材料。因为此种电极是多孔的,可透过湿气,能使试样的条件处理在涂上电极后进行,对研究湿度的影响时特别有用。此种电极的缺点是试样涂上银漆后不能马上进行试验,通常要求12h以上的气干或低温烘干时间,以便去除所有的微量溶剂,否则,溶剂可使电容率和介质损耗因数增加。同时应注意漆中的溶剂对试样应没有持久的影响。
要使用刷漆法做到边缘界限分明的电极较困难,但使用压板或压敏材料遮框喷漆可克服此局限。但在极高的频率下,因银漆电极的电导率会非常低,此时则不能使用。
5.1.3.7石墨
一般不推荐使用石墨,但是有时候也可采用,特别是在较低的频率下。石墨的电阻会引起损耗的显著增大,若采用石墨悬浮液制成电极,则石墨还会穿透试样。
5.1.4电极的选择
5.1.4.1板状试样
考虑下面两点很重要:
a)不加电极,测量时快而方便,并可避免由于试样和电极间的不良接触而引起的误差。
b)若试样上是加电极的,由测量试样厚度h时的相对误差△h/h所引起的相对电容率的相对误差△εr/εr可由下式得到:

式中:
△εr——相对电容率的偏差;
εr——相对电容率;
h——试样厚度;
Ah——试样厚度的偏差。
若试样上加电极,且试样放在有固定距离S>h的两个电极之间,这时

式中:
△εr、εr、h同式(12)。
εr——试样浸入所用流体的相对电容率,对于在空气中的测量则εr等于1。
对于相对电容率为10以上的无孔材料,可采用沉积金属电极。对于这些材料,电极应覆盖在试样的整个表面上,并且不用保护电极。对于相对电容率在3〜10之间的材料,能给出zui高精度的电极是金属箔、汞或沉积金属,选择这些电极时要注意适合材料的性能。若厚度的测量能达到足够精度时,试样上不加电极的方法方便而更可取。假如有一种合适的流体,它的相对电容率已知或者能很准确地测出,则采用流体排出法是zui好的。
5.1.4.2管状试样
对管状试样而言,合适的电极系统将取决于它的电容率、管壁厚度、直径和所要求的测量精度。一般情况下,电极系统应为一个内电极和一个稍为窄一些的外电极和外电极两端的保护电极组成,外电极和保护电极之间的间隙应比管壁厚度小。对小直径和中等直径的管状试样,外表面可加三条箔带或沉积金属带,中间一条用作为外电极(测量电极),两端各有一条用作保护电极。内电极可用汞,沉积金属膜或配合较好的金属芯轴。
高电容率的管状试样,其内电极和外电极可以伸展到管状试样的全部长度上,可以不用保护电极。
大直径的管状或圆筒形试样,其电极系统可以是圆形或矩形的搭接,并且只对管的部分圆周进行试验。这种试样可按板状试样对待,金属箔、沉积金属膜或配合较好的金属芯轴内电极与金属箔或沉积金属膜的外电极和保护电极一起使用。如采用金属箔做内电极,为了保证电极和试样之间的良好接触,需在管内采用一个弹性的可膨胀的夹具。
对于非常准确的测量,在厚度的测量能达到足够的精度时,可采用试样上不加电极的系统。对于相对电容率εr不超过10的管状试样,方便的电极是用金属箔、汞或沉积金属膜。相对电容率在10以上的管状试样,应采用沉积金属膜电极;瓷管上可采用烧熔金属电极。电极可像带材一样包覆在管状试样的全部圆周或部分圆周上。
5.2液体绝缘材料
5.2.1试验池的设计
对于低介质损耗因数的待测液体,电极系统重要的特点是:容易清洗、再装配(必要时)和灌注液体时不移动电极的相对位置。此外还应注意:液体需要量少,电极材料不影响液体,液体也不影响电极材料,温度易于控制,端点和接线能适当地屏蔽;支撑电极的绝缘支架应不浸沉在液体中,还有,试验池不应含有太短的爬电距离和尖锐的边缘,否则能影响测量精度。
满足上述要求的试验池见图2〜图4。电极是不锈钢的,用硼硅酸盐玻璃或石英玻璃作绝缘,图2和图3所示的试验池也可用作电阻率的测定,1EC 60247:1978对此已详细叙述。
由于有些液体如氯化物,其介质损耗因数与电极材料有明显的关系,不锈钢电极不总是合适的。有时,用铝和杜拉铝制成的电极能得到比较稳定的结果。
5.2.2试验池的准备
应用一种或几种合适的溶剂来清洗试验池,或用不含有不稳定化合物的溶剂多次清洗。可以通过化学试验方法检查其纯度,或通过一个已知的低电容率和介质损耗因数的液体试样测量的结果来确定。3试验池试验几种类型的绝缘液体时,若单独使用溶剂不能去除污物,可用一种柔和的擦净剂和水来清洁试验池的表面。若使用一系列溶剂清洗时则要用沸点低于100°C的分析级的石油醚来再次清洗,或者用任一种对一个已知低电容率和介质损耗因数的液体测量能给出正确值的溶剂来清洗,并且这种溶剂在化学性质上与被试液体应是相似的。推荐使用下述方法进行清洗。
试验池应全部拆开,地清洗各部件,用瑢剂回流的方法或放在未使用溶剂中搅动反复洗涤方法均可去除各部件上的溶剂并放在清洁的烘箱中,在110℃左右的温度下烘干30min。
待试验池的各部件冷却到室温,再重新装配起来。池内应注人一些待试的液体,停几分钟后,倒出此液体再重新倒人待试液体,此时绝缘支架不应被液体弄湿。
在上述各步骤中,各部件可用干净的钩针或钳子巧妙地处理,以使试验池有效的内表面不与手接触。
注1:在同种质量油的常规试验中,上面所说的淸洗步骤可以代之为在每一次试验后用没有残留纸屑的干纸简单地擦擦试验池。
注2:采用溶剂时,有些溶剂特别是苯、四氧化碳、甲苯、二甲苯是有毒的,所以要注意防火及毒性对人体的影响,此外,氧化物溶剂受光作用会分解。
5.2.3试验池的校正
当需要高精度测定液体电介质的相对电容率时,应首先用一种已知相对电容率的校正液体(如苯)来测定“电极常数'。
“电极常数”C。的确定按式(14):

式中:
Cc——电极常数;
Co——空气中电极装置的电容;
Cn——充有校正液体时电极装置的电容;
εn——校正液体的相对电容率。
从C。和Cc的差值可求得校正电容Cg

并按照公式
来计算液体未知相对电容率εx。
式中:
Cg——校正电容;
Co——空气中电极装置的电容;
Cc——电极常数|
Cx——电极装置充有被试液体时的电容;
εx——液体的相对电容率。
假如Co、Cn和Cx值是在εn是已知的某一相同温度下测定的,则可求得zui高精度的εx值。
采用上述方法测定液体电介质的相对电容率时,可保证其测得结果有足够的精度,因为它消除了由于寄生电容或电极间隙数值的不准确测量所引起的误差。
6、测置方法的选择
测量电容率和介质损耗因数的方法可分成两种:零点指示法和谐振法。
6.1零点指示法适用于频率不超过50MHz时的测量。测量电容率和介质损耗因数可用替代法;也就是在接入试样和不接试样两种状态下,调节回路的一个臂使电桥平衡。通常回路采用西林电桥、变压器电桥(也就是互感耦合比例臂电桥)和并联T型网络。变压器电桥的优点:采用保护电极不需任何外加附件或过多操作,就可采用保护电极;它没有其他网络的缺点。
6.2谐振法适用于10kHz〜几百MHz的频率范围内的测量。该方法为替代法测量,常用的是变电抗法。但该方法不适合采用保护电极。
注:典型的电桥和电路示例见附录。附录中所举的例子自然是不全面的,叙述电桥和测量方法报导见有关文献和该种仪器的原理说明书。
7、试验步骤
7.1试样的制备
试样应从固体材料上截取,为了满足要求,应按相关的标准方法的要求来制备。
应地测量厚度,使偏差在±(0.2%土0.005mm)以内,测量点应均匀地分布在试样表面。必要时,应测其有效面积。
7.2条件处理
条件处理应按相关规范规定进行。
7.3测量
电气测量按本标准或所使用的仪器(电桥)制造商推荐的标准及相应的方法进行。
在1MHz或更高频率下,必须减小接线的电感对测量结果的影响。此时,可采用同轴接线系统(见图1所示),当用变电抗法测量时,应提供一个固定微调电容器。
8、结果
8.1相对电容率εr
试样加有保护电极时其相对电容率εr可按公式(1)计算,没有保护电极时试样的被测电容C'x包括了一个微小的边缘电容Ce,其相对电容率为:

式中:
εr——相对电容率;
C'x——没有保护电极时试样的电容;
Ce——边缘电容;
Co——法向极间电容;
Co和Ce能从表1计算得来。
必要时应对试样的对地电容、开关触头之间的电容及等值串联和并联电容之间的差值进行校正。
测微计电极间或不接触电极间被测试样的相对电容率可按表2、表3中相应的公式计算得来。
8.2介质损耗因数tanδ
介质损耗因数tanδ按照所用的测量装置给定的公式,根据测出的数值来计算。
8.3精度要求
在第5章和附录A中所规定的精度是:电容率精度为±1%,介质损耗因数的精度为±(5%±0.0005)。这些精度至少取决于三个因素:即电容和介质损耗因数的实测精度;所用电极装置引起的这些量的校正精度;极间法向真空电容的计算精度(见表1)。
在较低频率下,电容的测量精度能达±(0.1%土0.02pF),介质损耗因数的测量精度能达±(2%±0.00005)。在较高频率下,其误差增大,电容的测量精度为±(0.5%±0,1PF),介质损耗因数的测量精度为±(2%±0.0002)。
对于带有保护电极的试样,其测量精度只考虑极间法向真空电容时有计算误差。但由被保护电极和保护电极之间的间隙太宽而引起的误差通常大到百分之零点几,而校正只能计算到其本身值的百分乏几。如果试样厚度的测量能到±0.005mm,则对平均厚度为1.6mm的试样,其厚度测量误差能达到百分之零点几。圆形试样的直径能测定到±0.1%的精度,但它是以平方的形式引人误差的,综合这些因素,极间法向真空电容的测量误差为±0.5%。
对表面加有电极的试样的电容,若采用测微计电极测量时,只要试样直径比测微计电极足够小,则只需要进行极间法向电容的修正。采用其他的一些方法来测量两电极试样时,边缘电容和对地电容的计算将带来一些误差,因为它们的误差都可达到试样电容的2%〜40%。根据目前有关这些电容资料,计算边缘电容的误差为10%,计算对地电容的误差为因此带来总的误差是百分之几十到百分之几。当电极不接地时,对地电容误差可大大减小。
采用测微计电极时,数量级是0.03的介质损耗因数可测到真值的±0.0003,数量级0.0002的介质损耗因数可测到真值的±0.00005介质损耗因数的范围通常是0.0001〜0.1,但也可扩展到0.1以上。频率在10MHz和20MHz之间时,有可能检测出0.00002的介质损耗因数。1〜5的相对电容率可测到其真值的±2%,该精度不仅受到计算极间法向真空电容测量精度的限制,也受到测微计电极系统误差的限制。
9、试验报告
试验报告中应给出下列相关内容:
绝缘材料的型号名称及种类、供货形式、取样方法、试样的形状及尺寸和取样日期(并注明试样厚度和试样在与电极接触的表面进行处理的情况);
试样条件处理的方法和处理时间;
电极装置类型,若有加在试样上的电极应注明其类型;
测量仪器;
试验时的温度和相对湿度以及试样的温度;
施加的电压;
施加的频率;
相对电容率εr(平均值);
介质损耗因数tanδ(平均值);
试验日期;
相对电容率和介质损耗因数值以及由它们计算得到的值如损耗指数和损耗角,必要时,应给出与温度和频率的关系。
表1 真空电容的计算和边缘校正
(1)极间法向电容
(单位:皮法和厘米)
(2)边缘电容的校正
(单位:皮法和厘米)
(3)
1.有保护环的圆盘状电极

2.没有保护环的圆盘状电极
a)电极直径=试样直径

b)上下电极相等,但比试样小

其中:ε1 是试样相对电容率的近似值,并且a≤h
表1(续)
(1)极间法向电容
(单位:皮法和厘米)
(2)边缘电容的校正
(单位:皮法和厘米)
(3)
c)电极直径=试样直径

其中:ε1 是试样相对电容率的近似值,并且a≤h
3.有保护环的圆柱形电极

4.没有保护环的圆柱形电极

其中:ε1 是试样相对电容率的近似值
试样的相对电容率:

其中:
C'x——电极之间被测的电容;
In——自然对数;
Ig——常用对数。
表2 试样电容的计算——接触式测微计电极
试样电容注符号定义’
1.并联一个标准电容器来替代试样电容CP——试样的并联电容
△C——取去试样后,为恢复平衡时的标准电容器的电容增量
Cr——在距离为r时,测微计电极的标定电容
Cs——取去试样后,恢复平衡,测微计电极间距为s时的标定电容Cor,Coh——测微计电极之间试样所占据的,间距分别为r或h的空气电容。可用表1中的公式1来计算r——试样与所加电极的厚度
h——试样厚度
相对电容率:

CP=△C+Cor试样直径至少比测微计电极的直径小2r。在计算电容率时必须采用试样的真实厚度h和面积A。
2.取去试样后减少测微计电极间的距离来替代试样电容
CP=Cs-Cr+Cor试样直径至少比测微计电极的直径小2r。在计算电容率时必须采用试样的真实厚度h和面积A。
3.并联一个标准电容器来替代试样电容
当试样与电极的直径同样大小时,仅存在一个微小的误差(因电极边缘电场畸变引起0.2%〜0.5%的误差),因而可以避免空气电容的两次计算。
CP=△C+Coh试样直径等于测微计电极直径,施于试样上的电极的厚度为零。
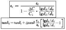
表3电容率和介质损耗因数的计算 ——不接触电极
相对电容率
(1)介质损耗因数
(2)符号意义
(3)
1.测微计电极(在空气中)

若ho 调到一个新值h'o,而△C=0时

tanδx= tanδc +M·εr·△tanδ
△C——试样插人时电容的改变量(电容增加时为+号)
C1——装有试样时的电容
C1——仅有流体时的电容,其值为εr•Co
Co——所考虑的区域上的真空电容,其值为εo•A/h0
A——试样一个面的面积,用 厘米2表示(试验的面积大于等于电极面积时)
ε1——在试验温度下的流体相对电容率(对空气而言εr =1. 00)
ε0——电气常数用皮法/厘米表示
△tanδ——试样插入时,损耗因数的增加量
tanδc——装有试样时的损耗因数
tanδx试样的损耗因数的计算值
d0——内电极的外直径 d1——试样的内直径 d2试样的外直径
d3——外电极的内直径 h0——平行平板间距
h——试样的平均厚度
M——h0 /h—1
lg――常用对数
注;在二流体法的公式中,脚注1和2分别表示种和第二种流体。
2. 平板电极——流体排出法

tanδx= tanδc +M·εr·△tanδ

当试样的损耗因数小于1时,可以用下列公式:

3. 圆柱形电极——流体排出法(用于tanδ小于0.1时)

4. 二流体法——平板电极(用于tanδx小于0. 1时)


1——测微计头;6——微调电容器;
2——连接可调电极(B)的金属波纹管;7——接检测器;
3——放试样的空间(试样电容器M1;8——接到电路上;
4——固定电极(A);9——可调电极(B)。
5——测微计头;
图1 用于固体介质测量的测微计——电容器装置
单位为毫米

1——内电极;1——把柄;
2——外电极;5——棚硅酸盐或石英垫圈;
3——保护环;6——硼硅酸盐或石英垫圈。
图2 液体测量的三电极试验池示例

注满试验池所需的液体量大约15mL
1——温度计插孔;
2——绝缘子;
3——过剩液体溢流的两个出口。
图3 测量液体的两电极试验池示例

1——温度计插孔;
2——1mm厚的金属板;
3——石英玻璃;
4——1mm或2mm的间隙;
5——温度计插孔

